题目内容
如图所示,质量均为m的两小球A和B用长为3L的轻杆相连,轻杆可绕距A小球2L的轴O在竖直平面内自由转动.现将轻杆拉至水平位置并由静止释放,试求:(1)在轻杆运动到竖直位置时,A小球的速度vA=?
(2)在轻杆运动到竖直位置的过程中,杆对A球所做的功?
(3)当轻杆转动到竖直位置时,杆对转轴O的作用力的大小和方向?
【答案】分析:(1)小球A、B系统中,只有重力势能和动能相互转化,机械能守恒,根据守恒定律列式求解即可;
(2)杆对A球做的功等于A球机械能的增加量,根据功能关系列式求解即可;
(3)先分别求解出杆对A、B小球的作用力,然后结合牛顿第三定律列式求解出球对杆的作用力,最后根据平衡条件得到杆对转轴O的作用力的大小和方向.
解答:解:(1)A、B在同一个杆上,所以A、B具有相同的角速度.记细杆转到竖直位置时的角速度为ω.则线速度ωA=OA×ω=2Lω,vB=OB×ω=Lω;
所以,vB=
vA ①
根据机械能守恒定律,有重力势能的减小量等于系统动能的增加量,故
mg×2L-mgL=
②
联立①②解得


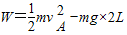
(2)根据功能关系可知,杆对A球做的功等于A球机械能的增加量,即
=-1.2mgL
(3)对B球,
,故受重力和支持力,合力提供向心力,有
③
对A球,受重力和拉力,合力提供向心力,有
④
由③④两式解得
FB=0.6mg
FA=1.8mg
根据牛顿第三定律,球B对杆向下的弹力为0.6mg,球A对杆向上的弹力为1.8mg,故杆对转轴的作用力为1.8mg-0.6mg=1.2mg,向上;
答:(1)在轻杆运动到竖直位置时,A小球的速度vA=
;
(2)在轻杆运动到竖直位置的过程中,杆对A球所做的功为-1.2mgL;
(3)当轻杆转动到竖直位置时,杆对转轴O的作用力的大小为1.2mg,方向向上.
点评:本题关键是A、B小球整体机械能守恒,根据守恒定律列式求解速度,然后根据牛顿第二定律并结合向心力公式列式求解弹力.
(2)杆对A球做的功等于A球机械能的增加量,根据功能关系列式求解即可;
(3)先分别求解出杆对A、B小球的作用力,然后结合牛顿第三定律列式求解出球对杆的作用力,最后根据平衡条件得到杆对转轴O的作用力的大小和方向.
解答:解:(1)A、B在同一个杆上,所以A、B具有相同的角速度.记细杆转到竖直位置时的角速度为ω.则线速度ωA=OA×ω=2Lω,vB=OB×ω=Lω;
所以,vB=
根据机械能守恒定律,有重力势能的减小量等于系统动能的增加量,故
mg×2L-mgL=
联立①②解得
(2)根据功能关系可知,杆对A球做的功等于A球机械能的增加量,即
(3)对B球,
对A球,受重力和拉力,合力提供向心力,有
由③④两式解得
FB=0.6mg
FA=1.8mg
根据牛顿第三定律,球B对杆向下的弹力为0.6mg,球A对杆向上的弹力为1.8mg,故杆对转轴的作用力为1.8mg-0.6mg=1.2mg,向上;
答:(1)在轻杆运动到竖直位置时,A小球的速度vA=
(2)在轻杆运动到竖直位置的过程中,杆对A球所做的功为-1.2mgL;
(3)当轻杆转动到竖直位置时,杆对转轴O的作用力的大小为1.2mg,方向向上.
点评:本题关键是A、B小球整体机械能守恒,根据守恒定律列式求解速度,然后根据牛顿第二定律并结合向心力公式列式求解弹力.
练习册系列答案
相关题目