题目内容
如图所示,放置在水平地面上的支架质量为M,支架顶端用细线拴着的摆球质量为m,现将摆球拉至水平位置,而后释放,摆球运动过程中,支架始终不动,以下说法正确的是( )
![]()
A.在释放前的瞬间,支架对地面的压力为(m+M)g
B.在释放前的瞬间,支架对地面的压力为Mg
C.摆球到达最低点时,支架对地面的压力为(m+M)g
D.摆球到达最低点时,支架对地面的压力为(3m+M)g
【答案】
选B、D.
【解析】在释放前的瞬间绳拉力为零,对M:对地面的压力F=Mg;
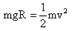
当摆球运动到最低点时,由机械能守恒得
①
由牛顿第二定律得:
②
由①②得绳对小球的拉力FT=3mg
对支架M由受力平衡,地面支持力FN=Mg+3mg
由牛顿第三定律知,支架对地面的压力FN2=3mg+Mg,故选项B、D正确.
练习册系列答案
相关题目
( )
| A、在释放前的瞬间,支架对地面的压力为(m+M)g | B、在释放前的瞬间,支架对地面的压力为mg | C、摆球到达最低点时,支架对地面的压力为(m+M)g | D、摆球到达最低点时,支架对地面的压力为(3m+M)g |
| A、M对地面的压力等于(M+m)g | B、M对地面的压力大于(M+m)g | C、地面对M没有摩擦力 | D、地面对M有向左的摩擦力 |