题目内容
已知万有引力常量G,地球的半径R,地球表面重力加速度g和地球自转周期T.不考虑地球自转对重力的影响,利用以上条件不可能求出的物理量是( )A.地球的质量和密度
B.地球同步卫星的高度
C.第一宇宙速度
D.第三宇宙速度
【答案】分析:根据已知量,地球表面的物体受到的重力等于万有引力可求出地球的质量,再利用球体的体积公式、密度公式可求出地球的密度;地球的同步卫星、近地卫星的万有引力提供向心力,可以求出地球同步卫星的高度、第一宇宙速度;当达到第三宇宙速度时,卫星脱离太阳系,无法求出第三宇宙速度.因此,选项D不能求出,D选项为正确选项.
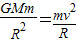
解答:解:A、地球表面的物体受到的重力等于万有引力,∴
,∴地球的质量M=
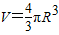
又地球的体积
,密度公式
,联立得地球的密度:
,所以选项A可以求出.
B:地球的同步卫星的万有引力提供向心力:
,代入地球的质量得卫星的高度:
,因此B选项可求出,不能选.
C:地球的近地卫星所受的万有引力提供向心力,∴
,代入地球的质量得第一宇宙速度:
,故C选项可求出,不能选.
D:当达到第三宇宙速度时,卫星脱离太阳系,无法求出第三宇宙速度.因此,选项D不能求出,D选项为正确选项.
故选:D.
点评:解答此题要清楚地球表面的物体受到的重力等于万有引力,地球的同步卫星的万有引力提供向心力,地球近地卫星所受的万有引力提供向心力,第三宇宙速度时,卫星脱离太阳系.
解答:解:A、地球表面的物体受到的重力等于万有引力,∴
又地球的体积
B:地球的同步卫星的万有引力提供向心力:
C:地球的近地卫星所受的万有引力提供向心力,∴
D:当达到第三宇宙速度时,卫星脱离太阳系,无法求出第三宇宙速度.因此,选项D不能求出,D选项为正确选项.
故选:D.
点评:解答此题要清楚地球表面的物体受到的重力等于万有引力,地球的同步卫星的万有引力提供向心力,地球近地卫星所受的万有引力提供向心力,第三宇宙速度时,卫星脱离太阳系.
练习册系列答案
相关题目
太阳系八大行星绕太阳运动的轨道可粗略地认为是圆,各行星的半径、日星距离和质量如下表所示:
|
| A、太阳系的八大行星中,海王星的圆周运动速率最大 |
| B、太阳系的八大行星中,水星的圆周运动周期最大 |
| C、如果已知地球的公转周期为1年,万有引力常量G=6.67×10-11Nm2/kg2,再利用地球和太阳间的距离,则可以求出太阳的质量 |
| D、如果已知万有引力常量G=6.67×10-11Nm2/kg2,并忽略地球的自转,利用地球的半径以及地球表面的重力加g=10m/s2,则可以求出太阳的质量 |