题目内容
A.轨道线速度vA<vB<vC
B.万有引力FA>FB>FC
C.向心加速度aA>aB>aC
D.运动一周后,它们将同时回到图示位置
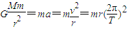
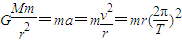
【答案】分析:根据万有引力提供向心力
分析.
解答:解:A、根据
知,轨道半径越大,向心加速度越小,线速度越小,周期越大.故A错误,C正确.
B、因为不知道人造地球卫星A、B、C的质量大小关系,无法比较它们所受的万有引力.故B错误.
D、三个人造卫星的周期不同,运动一周后,不会同时回到图示位置.故D错误.
故选C.
点评:解决本题的关键掌握万有引力提供向心力
.
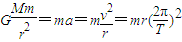
解答:解:A、根据
B、因为不知道人造地球卫星A、B、C的质量大小关系,无法比较它们所受的万有引力.故B错误.
D、三个人造卫星的周期不同,运动一周后,不会同时回到图示位置.故D错误.
故选C.
点评:解决本题的关键掌握万有引力提供向心力
练习册系列答案
相关题目
A、根据v=
| ||
| B、根据万有弓I力定律,卫星受到的万有引力FA>FB>FC | ||
| C、卫星的向心加速度aA>aB>aC | ||
| D、运动一周后,A先回到原地点 |
| A、因为各卫星的角速度ωA=ωB=ωC,所以各卫星仍在原位置上 | B、因为各卫星运转周期TA<TB<TC,所以卫星A超前于卫星B,卫星C滞后于卫星B | C、因为各卫星运转频率fA>fB>fC,所以卫星A滞后于卫星B,卫星C超前于卫星B | D、因为各卫星的线速度vA<vB<vC,所以卫星A超前于卫星B,卫星C滞后于卫星B |