题目内容
若假定“神舟九号”飞船绕地球做匀速圆周运动,它离地球表面的高度为h,运行周期为T,地球的半径为R,自转周期为T0,由此可推知地球的第一宇宙速度为( )
A.
B. ![]()
C.
D.
![]()
【答案】
B
【解析】
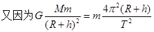
试题分析:由于T0是自转周期,不是卫星在地球表面附近的匀速圆周运动的周期,所以A选项错误;由于神舟九号”飞船绕地球做匀速圆周运动,由
,
,解得
,联立两式解得
所以B选项正确,C选项错误;D选项中的轨道半径是R不是(R+h),所以D选项错误。
考点:万有引力定律 匀速圆周运动 周期 线速度 第一宇宙速度
练习册系列答案
相关题目
列各情况中可将神舟九号飞船看做质点的是
| A.研究神舟九号飞船绕地球一周的路程 |
| B.研究神舟九号飞船太阳帆板的指向 |
| C.研究神舟九号飞船的内部结构 |
| D.返回前对神舟九号飞船进行姿态调整 |