题目内容
(1)加速电场的电压;
(2)所加磁场的磁感应强度为多大;
(3)粒子穿过电场和磁场的时间之比为多少.
【答案】分析:(1)根据动能定理求出加速电场的电压.
(2)根据带电粒子在电场中做类平抛运动,求出偏转角的正切值,当带电粒子在磁场中做圆周运动,求出偏转角的正弦值,抓住偏转角相等,求出磁感应强度的大小.
(3)带电粒子在电场中做类平抛运动,根据垂直电场方向上的运动求出类平抛运动的时间,根据圆心角的大小,结合带电粒子在匀强磁场中的周期公式求出粒子做匀速圆周运动的时间,从而求出两个时间之比.
解答:解:(1)由动能定理得,
解得:U=
.
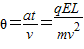
(2)设电场的宽度为L,粒子在偏转电场中做类平抛运动
运动时间t=
粒子在偏转电场中的加速度
tan
①
粒子在磁场中做匀速圆周运动向心力,由洛伦兹力提供:
解得
由几何关系得:sinθ=
②
由①②联立解得B=
.
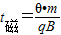
(3)粒子在偏转电场中运动的时间
③
粒子在磁场中运动的时间
④
由②③④联立解得
答:(1)加速电场的电压为
.
(2)所加磁场的磁感应强度为
.
(3)粒子穿过电场和磁场的时间之比为
.
点评:解决本题的关键掌握粒子在电场中类平抛运动,在磁场中做匀速圆周运动的处理方法,结合牛顿第二定律和运动学公式进行求解.
(2)根据带电粒子在电场中做类平抛运动,求出偏转角的正切值,当带电粒子在磁场中做圆周运动,求出偏转角的正弦值,抓住偏转角相等,求出磁感应强度的大小.
(3)带电粒子在电场中做类平抛运动,根据垂直电场方向上的运动求出类平抛运动的时间,根据圆心角的大小,结合带电粒子在匀强磁场中的周期公式求出粒子做匀速圆周运动的时间,从而求出两个时间之比.
解答:解:(1)由动能定理得,
解得:U=
(2)设电场的宽度为L,粒子在偏转电场中做类平抛运动
运动时间t=
粒子在偏转电场中的加速度
tan
粒子在磁场中做匀速圆周运动向心力,由洛伦兹力提供:
解得
由几何关系得:sinθ=
由①②联立解得B=
(3)粒子在偏转电场中运动的时间
粒子在磁场中运动的时间
由②③④联立解得
答:(1)加速电场的电压为
(2)所加磁场的磁感应强度为
(3)粒子穿过电场和磁场的时间之比为
点评:解决本题的关键掌握粒子在电场中类平抛运动,在磁场中做匀速圆周运动的处理方法,结合牛顿第二定律和运动学公式进行求解.
练习册系列答案
相关题目