题目内容

一个内壁光滑的圆柱形气缸,质量为M,高度为L,底面积为S.缸内有一个质量为m的活塞,封闭了一定质量的理想气体,不计活塞厚度.温度为t时,如果用绳子系住活塞将气缸悬挂起来,如图1所示,气缸内气体柱的高为L1,如果用绳子系住气缸底,将气缸倒过来悬挂起来,如图2所示,气缸内气体柱的高为L2,设两种情况下气缸都处于竖直状态,求:
(1)当时的大气压强;
(2)为保证图2情况下,活塞不从气缸中脱落,缸内气体温度的变化范围.
【答案】分析:(1)将气缸倒过来悬挂起来过程中,封闭气体发生等温变化,分别由平衡条件求出气缸倒过来前后封闭气体的压强,由玻意耳定律求出大气压强;
(2)考虑临界情况,当温度最高时,活塞在缸口边缘,此过程中气体发生等压变化,根据气态方程求出最高温度,即可得到温度的变化范围.
解答:解:(1)初态:p1=p-;末态:p2=p-                       
由玻意耳定律得:p1L1S=p2L2S                      
所以:(p-)L1S=(p-)L2S,
可解得:p=           
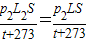
(2)当气体的温度最高时,活塞在缸口边缘,设此时的温度为t,体积为LS.
由气态方程:
得:t=-273                                     
所以只要温度低于-273,活塞就不会脱落.      
答:(1)当时的大气压强为
(2)为保证图2情况下,活塞不从气缸中脱落,缸内气体温度应低于-273.
点评:对于气体问题,首先要判断出气体状态作何种变化,选择解题规律;其次往往根据力平衡知识求解封闭气体的压强.
练习册系列答案
相关题目

违法和不良信息举报电话:027-86699610 举报邮箱:58377363@163.com

精英家教网