题目内容
真空中有两个静止的点电荷,它们之间静电力的大小为F.如果保持这两个点电荷之间的距离不变,而将它们的电荷量都变为原来的3倍,那么它们之间的静电力的大小变为( )A.3F
B.
C.
D.9F
【答案】分析:本题比较简单,直接利用库仑定律进行计算讨论即可.
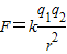
解答:解:距离改变之前:
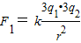
①
当电荷量都变为原来的3倍时:
②
联立①②可得:F1=9F,故ABC错误,D正确.
故选D.
点评:库伦定律应用时涉及的物理量较多,因此理清各个物理量之间的关系,可以和万有引力定律进行类比学习.
解答:解:距离改变之前:
当电荷量都变为原来的3倍时:
联立①②可得:F1=9F,故ABC错误,D正确.
故选D.
点评:库伦定律应用时涉及的物理量较多,因此理清各个物理量之间的关系,可以和万有引力定律进行类比学习.
练习册系列答案
相关题目