题目内容
甲、乙两辆汽车沿平直公路从某地同时驶向同一目的地,甲车在前一半时间以速度v1行驶,后一半时间以速度v2行驶;乙车在前一半路程中以速度v1行驶,后一半路程以速度v2行驶,则甲、乙两车到达目的地的先后顺序是
[ ]
A.甲先
B.乙先
C.同时到达
D.无法比较
答案:A
解析:
解析:
|
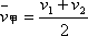
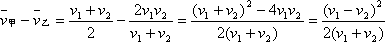
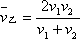
这是一个涉及平均速度的问题,因为甲、乙运动的位移相等,只要比较两个运动的平均速度,就能比较运动时间. 对甲:s= 对乙:t= 所以t1<t2,选A. |
练习册系列答案
相关题目
| A、0-t时间内,甲的平均速度大于乙的平均速度 | B、0-2t时间内,甲的平均速度大于乙的平均速度 | C、t时刻两车再次相遇 | D、在t-2t时间的某时刻内,两车再次相遇 |