题目内容

为了研究太阳演化进程,需知道目前太阳的质量M.已知地球半径R=6.4×106 m,地球质量m=6×1024 kg,日地中心距离r=1.5×1011 m,地球表面处的重力加速度g=10 m/s2,地球绕太阳一周所用的时间1年约为3.2×107 s,试估算目前太阳的质量M(保留一位有效数字,引力常量未知)

答案:
解析:

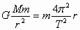
  解:设T为地球绕太阳运动的周期,则由万有引力定律和动力学知识得

  对地球表面物体又有 两式联立得

  代入数据得


练习册系列答案
相关题目

违法和不良信息举报电话:027-86699610 举报邮箱:58377363@163.com

精英家教网