题目内容
【答案】分析:A球做自由落体运动,B球是等效单摆,两个在O点相遇,具有等时性.
解答:解:对A球,它做自由落体运动,自h高度下落至O点
h=
解得:
;
对B球,可视为单摆,运用单摆周期公式可求B球到达O点的时间
t=
=
=
联立解得:

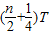
故:h=
答:高度h应为
.
点评:本题关键是明确两个球的运动规律,同时要注意等时性,不难.
解答:解:对A球,它做自由落体运动,自h高度下落至O点
h=
解得:
对B球,可视为单摆,运用单摆周期公式可求B球到达O点的时间
t=
联立解得:
故:h=
答:高度h应为
点评:本题关键是明确两个球的运动规律,同时要注意等时性,不难.
练习册系列答案
相关题目