题目内容
A.卫星在轨道3上的速率大于在轨道1上的速率
B.卫星在轨道3上的机械能大于在轨道1上的机械能
C.卫星在轨道1上经过Q点时的加速度大于它在轨道2上经过Q点时的加速度
D.卫星在轨道2上经过P点时的速度大于它在轨道3上经过P点时的速度
【答案】分析:根据人造卫星的万有引力等于向心力,列式求出线速度、角速度、和向心力的表达式进行讨论即可.
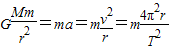
解答:解:A、人造卫星绕地球做匀速圆周运动,根据万有引力提供向心力,设卫星的质量为m、轨道半径为r、地球质量为M,有

解得:
v=
轨道3半径比轨道1半径大,卫星在轨道1上线速度较大,故A错误;
B、卫星从轨道1到轨道3需要克服引力做较多的功,故在轨道3上机械能较大,故B正确;
C、根据牛顿第二定律和万有引力定律得:a=
,所以卫星在轨道2上经过Q点的加速度等于在轨道1上经过Q点的加速度.故C错误.
D、在椭圆轨道远地点实施变轨成圆轨道是做逐渐远离圆心的运动,要实现这个运动必须万有引力小于卫星所需向心力,所以应给卫星加速,增加所需的向心力,卫星在轨道3上经过P点的速率大于在轨道2上经过P点的速率,故D错误.
故选B
点评:本题关键抓住万有引力提供向心力,先列式求解出线速度和角速度的表达式,再进行讨论.
解答:解:A、人造卫星绕地球做匀速圆周运动,根据万有引力提供向心力,设卫星的质量为m、轨道半径为r、地球质量为M,有
解得:
v=
轨道3半径比轨道1半径大,卫星在轨道1上线速度较大,故A错误;
B、卫星从轨道1到轨道3需要克服引力做较多的功,故在轨道3上机械能较大,故B正确;
C、根据牛顿第二定律和万有引力定律得:a=
D、在椭圆轨道远地点实施变轨成圆轨道是做逐渐远离圆心的运动,要实现这个运动必须万有引力小于卫星所需向心力,所以应给卫星加速,增加所需的向心力,卫星在轨道3上经过P点的速率大于在轨道2上经过P点的速率,故D错误.
故选B
点评:本题关键抓住万有引力提供向心力,先列式求解出线速度和角速度的表达式,再进行讨论.
练习册系列答案
相关题目