题目内容
一电路如图所示,电源电动势E=28V,内阻r=2Ω,电阻R1=12Ω,R2=4Ω,R3=8Ω,C为平行板电容器,其电容C=3.0pF,虚线到两极板距离相等,极板长L=0.20m,两极板的间距d=1.0×10-2m.(1)开关S处于断开状态时电容器所带电量为多少?
(2)若开关S断开时,有一带电微粒沿虚线方向以v=2.0m/s的初速度射入C的电场中,刚好沿虚线匀速运动,问:当开关S闭合后,此带电微粒以相同初速度沿虚线方向射入C的电场中,能否从C的电场中射出?(要求写出计算和分析过程,g取10m/s2)
【答案】分析:开关断开时,求出电阻两端的电压从而算出电容器的电量;当开关闭合时,求出路端的电压,从而电阻两端的电压.当断开时电场力与重力相平衡,而闭合后由重力与电场力的合力从而求出加速度大小,最终求出侧向位移.
解答:解:(1)S断开时,电阻R3两端电压为
则所求流过R4的总电量为Q=CU3=4.8×10-11C
(2)S闭合后,外阻为
路端电压为
电阻R3两端电压为
设微粒质量为m,电量为q,当开关S断开时有:
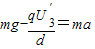
当开关S闭合后,设微粒加速度为a,则
设微粒能从C的电场中射出,则水平方向:
竖直方向:
由以上各式求得:
故微粒不能从C的电场中射出
点评:本题由殴姆定律与牛顿运动定律相综合应用,同时利用将类平抛运动分解成两相互垂直的简单直线运动.
解答:解:(1)S断开时,电阻R3两端电压为
则所求流过R4的总电量为Q=CU3=4.8×10-11C
(2)S闭合后,外阻为
路端电压为
电阻R3两端电压为
设微粒质量为m,电量为q,当开关S断开时有:
当开关S闭合后,设微粒加速度为a,则
设微粒能从C的电场中射出,则水平方向:
竖直方向:
由以上各式求得:
故微粒不能从C的电场中射出
点评:本题由殴姆定律与牛顿运动定律相综合应用,同时利用将类平抛运动分解成两相互垂直的简单直线运动.
练习册系列答案
相关题目