题目内容
一束单色光斜着射向并穿过一厚度为d的玻璃砖.已知该玻璃砖对单色光的折射率为n,单色光的入射角为a光在真空中的传播速度为C.求:I.若入射角a=60°,且已知.求该色光经玻璃砖折射后的折射角;
II.该色光穿过玻璃砖所用的时间与入射角a和折射率n的关系.
【答案】分析:Ⅰ、已知入射角,由折射定律n=
求解折射角.
Ⅱ、由几何知识求出光透过玻璃所走的路程为s=
,光在玻璃中的速度为v=
,时间为t=
.
解答:解:Ⅰ.设该色光的折射角r,根据折射定律
n=
…(1)
解得,r=30°…(2)
Ⅱ.设光透过玻璃所走的路程为s,所用时间为t,则:
s=
…(3)
光在玻璃中的速度为v=
,
时间为t=
…(4)
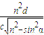
由(1)、(3)、(4)得:
t=
答:
Ⅰ、该色光经玻璃砖折射后的折射角是30°.
Ⅱ、该色光穿过玻璃砖所用的时间与入射角α和折射率n的关系是t=
.
点评:本题是折射定律n=
、光在介质中速度公式v=
、几何知识的综合应用,基础题,难度不大.
Ⅱ、由几何知识求出光透过玻璃所走的路程为s=
解答:解:Ⅰ.设该色光的折射角r,根据折射定律
n=
解得,r=30°…(2)
Ⅱ.设光透过玻璃所走的路程为s,所用时间为t,则:
s=
光在玻璃中的速度为v=
时间为t=
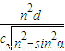
由(1)、(3)、(4)得:
t=
答:
Ⅰ、该色光经玻璃砖折射后的折射角是30°.
Ⅱ、该色光穿过玻璃砖所用的时间与入射角α和折射率n的关系是t=
点评:本题是折射定律n=
练习册系列答案
相关题目