题目内容
一辆汽车从车站由静止起动,做匀加速直线运动.司机发现有人未上车,急忙刹车,车做匀减速直线运动而停下来,结果总共在5s内前进了10m.汽车在运动过程中速度的最大值vm= .
【答案】分析:根据匀变速直线运动的平均速度公式
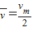
知,匀加速直线运动和匀减速直线运动的平均速度
,根据
求出最大速度.
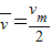
解答:解:匀加速直线运动和匀减速直线运动的平均速度
,则
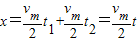
,则
.
故答案为:4m/s.
点评:解决本题的关键掌握匀变速直线运动的平均速度公式
.
解答:解:匀加速直线运动和匀减速直线运动的平均速度
故答案为:4m/s.
点评:解决本题的关键掌握匀变速直线运动的平均速度公式
练习册系列答案
相关题目