题目内容
如图所示,一个质量为m的圆环套在一根固定的水平直杆上,环与杆的动摩擦因数为μ,现给环一个向右的初速度v,如果环在运动过程中还受到一个方向始终竖直向上的力F的作用,已知F=kv(k为常数,v为速度),试讨论环在运动过程中克服摩擦力所做的功.(假设杆足够长)
【答案】分析:根据受力分析确定环的运动情况,当环受到合力向下时,随着环做减速运动向上的拉力逐渐减小,环将最终静止,当环所受合力向上时,随着环速度的减小,竖直向上的拉力逐渐减小,当环向上的拉力减至和重力大小相等时,此时环受合力为0,杆不再给环阻力环将保持此时速度不变做匀速直线运动,当环在竖直方向所受合力为0时,环将一直匀速直线运动,分三种情况对环使用动能定理求出阻力对环做的功即可.
解答:解:根据题意有对于小环的运动,根据环受竖直向上的拉力F与重力mg的大小分以下三种情况讨论:
(1)当mg=kv时,即v=
时,环做匀速运动,Wf=0,环克服摩擦力所做的功为零
(2)当mg>kv时,即v<
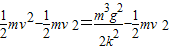
时,环在运动过程中做减速运动,直至静止.由动能定理得环克服摩擦力所做的功为Wf=
m
(3)当mg<kv时,即v>
时,环在运动过程中先做减速运动,当速度减小至满足mg=kv时,即v=
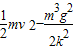
时环开始做匀速运动.由动能定理得摩擦力做的功
Wf=
环克服摩擦力所做的功为
答:环在运动过程中克服摩擦力所做的功为:
(1)v=
时,环做匀速运动,Wf=0,环克服摩擦力所做的功为零
(2)v<
时,环克服摩擦力所做的功为Wf=
m
(3)v>
时,环克服摩擦力所做的功为
点评:注意当环在竖直方向所受合力为0时,此时杆对环不再有阻力作用,环在水平方向受平衡力,将保持此时的速度做匀速直线运动,由此可分三种情况对环进行受力分析从而确定环的受力情况和运动情况,根据动能定理求解克服阻力所做的功即可.
解答:解:根据题意有对于小环的运动,根据环受竖直向上的拉力F与重力mg的大小分以下三种情况讨论:
(1)当mg=kv时,即v=
(2)当mg>kv时,即v<
(3)当mg<kv时,即v>
Wf=
环克服摩擦力所做的功为
答:环在运动过程中克服摩擦力所做的功为:
(1)v=
(2)v<
(3)v>
点评:注意当环在竖直方向所受合力为0时,此时杆对环不再有阻力作用,环在水平方向受平衡力,将保持此时的速度做匀速直线运动,由此可分三种情况对环进行受力分析从而确定环的受力情况和运动情况,根据动能定理求解克服阻力所做的功即可.
练习册系列答案
相关题目