题目内容
如图所示,有一半径为R的半圆形圆柱面MPQ,质量为2m的A球与质量为m的B球,用轻质绳连接后挂在圆柱面边缘.现将A球从边缘M点由静止释放,若不计一切摩擦,求(1)A球沿圆柱面滑到最低点P时的速度大小.
(2)A球沿圆柱面滑到最低点P的过程中绳子对A,对B,对AB所组成的系统各做多少功.
【答案】分析:(1)先根据几个关系求出A球和B球速度的关系和位移的大小,再对AB整体运用动能定理即可求解;
(2)先对A运用动能定理即可求出绳对A做的功,对AB组成的系统,绳子的力为内力,故绳子对系统做的功为0,绳对B做的功等于负的绳子对A所做的功.
解答:解:当A球运动到P点时,作出图象如图所示:

设A球的速度为v,根据几何关系可知B球的速度为
,B球上升的高度为
R
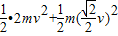
对AB小球整体运用动能定理得:
=2mgR-mg
R
解得:v=
对A运用动能定理的:

解得:
对AB组成的系统,绳子的力为内力,故绳子对系统做的功为0,
所以
答:(1)A球沿圆柱面滑到最低点P时的速度大小为
.
(2)A球沿圆柱面滑到最低点P的过程中绳子对A做功为
,对B做功为
,对AB所组成的系统做功为0.
点评:本题主要考查了动能定理得直接运用,做题时结合几何关系求解,注意AB球的速度不等.
(2)先对A运用动能定理即可求出绳对A做的功,对AB组成的系统,绳子的力为内力,故绳子对系统做的功为0,绳对B做的功等于负的绳子对A所做的功.
解答:解:当A球运动到P点时,作出图象如图所示:
设A球的速度为v,根据几何关系可知B球的速度为
对AB小球整体运用动能定理得:
解得:v=
对A运用动能定理的:
解得:
对AB组成的系统,绳子的力为内力,故绳子对系统做的功为0,
所以
答:(1)A球沿圆柱面滑到最低点P时的速度大小为
(2)A球沿圆柱面滑到最低点P的过程中绳子对A做功为
点评:本题主要考查了动能定理得直接运用,做题时结合几何关系求解,注意AB球的速度不等.
练习册系列答案
相关题目