ÌâÄ¿ÄÚÈÝ

(15·Ö)¡°10Ã×ÕÛ·µÅÜ¡±µÄ³É¼¨·´Ó³ÁËÈËÌåµÄÁéÃôËØÖÊ¡£²â¶¨Ê±£¬ÔÚÆ½Ö±ÅܵÀÉÏ£¬ÊÜÊÔÕßÒÔÕ¾Á¢Ê½ÆðÅÜ×ËÊÆÕ¾ÔÚÆðµãÖÕµãÏßǰ£¬µ±Ìýµ½¡°ÅÜ¡±µÄ¿ÚÁîºó£¬È«Á¦ÅÜÏòÕýǰ·½10Ã×´¦µÄÕÛ·µÏߣ¬²âÊÔԱͬʱ¿ªÊ¼¼ÆÊ±¡£ÊÜÊÔÕßµ½´ïÕÛ·µÏß´¦Ê±£¬ÓÃÊÖ´¥ÃþÕÛ·µÏß´¦µÄÎïÌ壨ÈçľÏ䣩£¬ÔÙתÉíÅÜÏòÆðµãÖÕµãÏߣ¬µ±Ðز¿µ½´ïÆðµãÖÕµãÏߵĴ¹Ö±ÃæÊ±£¬²âÊÔԱͣ±í£¬ËùÓÃʱ¼ä¼´Îª¡°10Ã×ÕÛ·µÅÜ¡±µÄ³É¼¨¡£ÉèÊÜÊÔÕ߯ðÅܵļÓËÙ¶ÈΪ4m/s2£¬Ô˶¯¹ý³ÌÖеÄ×î´óËÙ¶ÈΪ4m/s£¬¿ìµ½´ïÕÛ·µÏß´¦Ê±Ðè¼õËÙµ½Á㣬¼õËٵļÓËÙ¶ÈΪ8m/s2£¬·µ»ØÊ±´ïµ½×î´óËٶȺó²»Ðè¼õËÙ£¬±£³Ö×î´óËٶȳåÏß¡£Çó¸ÃÊÜÊÔÕß¡°10Ã×ÕÛ·µÅÜ¡±µÄ³É¼¨Îª¶àÉÙÃ룿£¨±Û³¤ºöÂÔ£©

 

 

¡¾´ð°¸¡¿

6.25s

¡¾½âÎö¡¿

ÊÔÌâ·ÖÎö£º¶ÔÊÜÊÔÕߣ¬ÓÉÆðµãÖÕµãÏßÏòÕÛ·µÏßÔ˶¯µÄ¹ý³ÌÖÐ

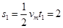
¼ÓËٽ׶Σºs£¬

¼õËٽ׶Σºs£¬m

ÔÈËٽ׶Σºs

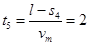
ÓÉÕÛ·µÏßÏòÆðµãÖÕµãÏßÔ˶¯µÄ¹ý³ÌÖÐ

¼ÓËٽ׶Σºs£¬m

ÔÈËٽ׶Σºs

ÊÜÊÔÕß10Ã×ÕÛ·µÅܵijɼ¨Îª£ºt£½t1£«t2£«t3£«t4£«t5£½6.25s

¿¼µã£º±¾Ì⿼²éÔȱäËÙÖ±ÏßÔ˶¯¹æÂÉ¡£

 

Á·Ï°²áϵÁдð°¸
Ïà¹ØÌâÄ¿

Î¥·¨ºÍ²»Á¼ÐÅÏ¢¾Ù±¨µç»°£º027-86699610 ¾Ù±¨ÓÊÏ䣺58377363@163.com

¾«Ó¢¼Ò½ÌÍø