题目内容
质量为2kg的物体在x-y平面上作曲线运动,在x方向的速度图象和y方向的位移图象如图所示,下列说法正确的是( )A.质点初速度的方向与合外力方向垂直
B.2s末质点速度大小为6m/s
C.质点的初速度为5m/s
D.质点所受的合外力为3N
【答案】分析:根据图象,质点在x方向做匀加速直线运动,可以求出加速度,x方向的合力以及任意时刻的速度;质点在y方向做匀速运动,不受力;运用合成法可以得到各个时刻的速度,合力大小和方向.
解答:解:A、C、D、质点在x方向做匀加速直线运动,其分加速度为:ax=
=1.5m/s2,x方向的分力为:Fx=max=3N,沿+x方向;
质点在y方向做匀速运动,速度为4m/s,加速度为零,y方向的分力Fy为零;
故合力F=Fx=3N,沿+x方向.
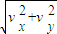
初速度:v=
=5m/s,方向在x、y方向之间与x方向成53°角
故A错误,C正确,D正确;
B、2s末x方向分速度为6m/s,y方向分速度为4m/s,故合速度为:v=
=2
m/s;
故选CD.
点评:本题关键是先分析x、y两个方向的分运动的情况,然后再合成合运动的情况.
解答:解:A、C、D、质点在x方向做匀加速直线运动,其分加速度为:ax=
质点在y方向做匀速运动,速度为4m/s,加速度为零,y方向的分力Fy为零;
故合力F=Fx=3N,沿+x方向.
初速度:v=
故A错误,C正确,D正确;
B、2s末x方向分速度为6m/s,y方向分速度为4m/s,故合速度为:v=
故选CD.
点评:本题关键是先分析x、y两个方向的分运动的情况,然后再合成合运动的情况.
练习册系列答案
相关题目