题目内容
【答案】分析:首先利用好平抛运动在水平放上的匀速运动和竖直方向的自由落体运动,又物体落在斜面上,利用好斜面夹角的关系求解即可.
解答:解:小球落到斜面上时有:tanα=
所以竖直方向速度为vy=gt=2vtanα
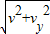
所以速度为v=
=
所以小球落到斜面上的速度大小与平抛的初速度的大小成正比.
若α=30°,小球抛出时的动能为6J,则小球落到斜面上时的动能为
=6×
J=14J
故答案为:正确的;14
点评:平抛运动中速度与水平方向,位移与水平方向之间夹角的表达式以及它们之间的关系是经常考查的重点,要加强练习和应用.
解答:解:小球落到斜面上时有:tanα=
所以竖直方向速度为vy=gt=2vtanα
所以速度为v=
所以小球落到斜面上的速度大小与平抛的初速度的大小成正比.
若α=30°,小球抛出时的动能为6J,则小球落到斜面上时的动能为
故答案为:正确的;14
点评:平抛运动中速度与水平方向,位移与水平方向之间夹角的表达式以及它们之间的关系是经常考查的重点,要加强练习和应用.
练习册系列答案
相关题目