题目内容
宇航员站在星球表面上某高处,沿水平方向抛出一小球,经过时间t小球落回星球表面,测得抛出点和落地点之间的距离为L.若抛出时的速度增大为原来的2倍,则抛出点到落地点之间的距离为A.抛出点的高度
B.该星球表面的重力加速度
C.小球的质量
D.该星球的质量
【答案】分析:运用平抛运动规律表示出抛出点与落地点之间的距离求解星球表面重力加速度.
忽略星球自转的影响,根据万有引力等于重力列出等式求解天体质量.
解答:解:设小球平抛初速度为V,星球表面重力加速度为g,
第一次平抛:(Vt)2+(
gt2)2=L2-------①
第二次平抛(2Vt)2+(
t2)2=(
L)2-------②
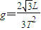
联立①和②解:
----------③则 B正确
根据在星球表面:
=mg---------④
结合③④解得M=得M=
-------⑤则D正确
抛出点的高度:h=
----------------⑥则A正确
小球的质量不能测出,则C错误
故选:ABD
点评:考查万有引力定律的应用,明确重力加速度g是天体运动研究和天体表面宏观物体运动研究联系的物理量.
忽略星球自转的影响,根据万有引力等于重力列出等式求解天体质量.
解答:解:设小球平抛初速度为V,星球表面重力加速度为g,
第一次平抛:(Vt)2+(
第二次平抛(2Vt)2+(
联立①和②解:
根据在星球表面:
结合③④解得M=得M=
抛出点的高度:h=
小球的质量不能测出,则C错误
故选:ABD
点评:考查万有引力定律的应用,明确重力加速度g是天体运动研究和天体表面宏观物体运动研究联系的物理量.
练习册系列答案
相关题目