ÌâÄ¿ÄÚÈÝ
Èçͼ£¬ÔÚxOyÆ½ÃæµÄµÚÒ»¡¢ËÄÏóÏÞÄÚ´æÔÚ×Å·½Ïò´¹Ö±Ö½ÃæÏòÍâ¡¢´Å¸ÐӦǿ¶ÈΪBµÄÔÈÇ¿´Å³¡£¬µÚËÄÏóÏÞÄÚ´æÔÚ·½ÏòÑØ-y·½Ïò¡¢µç³¡Ç¿¶ÈΪEµÄÔÈÇ¿µç³¡£®´ÓyÖáÉÏ×ø±êΪaµÄÒ»µãÏò´Å³¡Çø·¢ÉäËÙ¶È´óС²»µÈµÄ´øÕýµçͬÖÖÁ£×Ó£¬ËÙ¶È·½Ïò·¶Î§ÊÇÓë+y·½Ïò³É£¨30°-150°£©£¬ÇÒÔÚxOyÆ½ÃæÄÚ£®½á¹ûËùÓÐÁ£×Ó¾¹ý´Å³¡Æ«×ªºó¶¼´¹Ö±´òµ½xÖáÉÏ£¬È»ºó½øÈëµÚËÄÏóÏÞµÄÔÈÇ¿µç³¡Çø£®ÒÑÖª´øµçÁ£×ÓµçÁ¿Îª+q£¬ÖÊÁ¿Îªm£¬ÖØÁ¦²»¼Æ£®£¨1£©È·¶¨½øÈë´Å³¡ËÙ¶È×îСÁ£×ÓµÄËÙ¶È·½Ïò£¬²¢Çó³öËÙ¶È´óС£®
£¨2£©ËùÓÐͨ¹ý´Å³¡ÇøµÄÁ£×ÓÖУ¬Çó³ö×ʱ¼äÓë×î¶Ìʱ¼äµÄ±ÈÖµ£®
£¨3£©´ÓxÖáÉÏ
¡¾´ð°¸¡¿·ÖÎö£º£¨1£©ÒòËùÓÐÁ£×Ó¾ù´òÔÚxÖáÉÏ£¬¶øÁ£×ӵļнDz»Í¬£¬¹ÊÁ£×ÓµÄËÙ¶ÈÓ¦²»Í¬£¬Ôò¼¸ºÎ¹ØÏµ¿ÉµÃ³öËÙ¶ÈÓë¼Ð½ÇµÄ¹ØÏµ£¬Ôò¿ÉµÃ³ö×îСËÙ¶È£»
£¨2£©Á£×ӹ켣¶ÔÓ¦µÄÔ²ÐĽÇ×î´óʱ£¬Á£×ÓµÄת¶¯Ê±¼ä×£¬Ô²ÐĽÇ×îСʱ£¬×ª¶¯Ê±¼ä×î¶Ì£¬Óɼ¸ºÎ¹ØÏµ¿ÉÖª×î´óÔ²ÐĽǼ°×îСԲÐĽǣ¬Ôò¿ÉÇóµÃʱ¼ä±ÈÖµ£»
£¨3£©Óɼ¸ºÎ¹ØÏµ¿ÉµÃ³öÁ£×Ó´Ó-bµãÀ뿪Ëù¶ÔÓ¦µÄÔ²ÖÜÔ˶¯µÄ°ë¾¶£¬Óɰ뾶¹«Ê½¿ÉÇóµÃÁ£×ÓµÄËÙ¶È£®
½â´ð£º½â£® £¨1£©ÉèËÙ¶ÈvÁ£×ÓÓëyÖá¼Ð½Ç¦È£¬´¹Ö±´ïµ½xÖáÉÏÂú×㣺a=Rsin¦È
ÓÖ

¦È=90° ʱ£¬
£¨2£©×ʱ¼ä¶ÔÓ¦Á£×Ó³õËÙ¶ÈÓëyÖáÕý·½Ïò¼Ð½Ç30°£¬×ª¹ý150°
×î¶Ìʱ¼ä¶ÔÓ¦Á£×Ó³õËÙ¶ÈÓëyÖḺ·½Ïò¼Ð½Ç30°£¬×ª¹ý30°
t1£ºt2=5£»
£¨3£©Á£×ÓÉä³öʱÓëyÖḺ·½Ïò¼Ð½Ç¦È£¬ÔòÓÐ
Rsin¦È=a
µÃµ½£º¦È=45

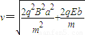
ËÙ¶ÈvΪ£º
Éèµ½´ïyÖáËÙ¶Èv£¬Ôò
£®
µãÆÀ£º´øµçÁ£×ÓÔڴų¡ÖеÄÔ˶¯ÀàÌâÄ¿¹Ø¼üÔÚÓÚÕÒ³öÔ²ÐÄÈ·¶¨°ë¾¶£¬ËùÒÔÔÚ½âÌâʱ¼¸ºÎ¹ØÏµÊǹؼü£¬Ó¦Áé»îÓ¦Óü¸ºÎ¹ØÏµ£¬Í¬Ê±½áºÏ»Í¼È¥ÕÒ³öºÏÀíµÄ½âÌâ·½·¨£®
£¨2£©Á£×ӹ켣¶ÔÓ¦µÄÔ²ÐĽÇ×î´óʱ£¬Á£×ÓµÄת¶¯Ê±¼ä×£¬Ô²ÐĽÇ×îСʱ£¬×ª¶¯Ê±¼ä×î¶Ì£¬Óɼ¸ºÎ¹ØÏµ¿ÉÖª×î´óÔ²ÐĽǼ°×îСԲÐĽǣ¬Ôò¿ÉÇóµÃʱ¼ä±ÈÖµ£»
£¨3£©Óɼ¸ºÎ¹ØÏµ¿ÉµÃ³öÁ£×Ó´Ó-bµãÀ뿪Ëù¶ÔÓ¦µÄÔ²ÖÜÔ˶¯µÄ°ë¾¶£¬Óɰ뾶¹«Ê½¿ÉÇóµÃÁ£×ÓµÄËÙ¶È£®
½â´ð£º½â£® £¨1£©ÉèËÙ¶ÈvÁ£×ÓÓëyÖá¼Ð½Ç¦È£¬´¹Ö±´ïµ½xÖáÉÏÂú×㣺a=Rsin¦È
ÓÖ
¦È=90° ʱ£¬
£¨2£©×ʱ¼ä¶ÔÓ¦Á£×Ó³õËÙ¶ÈÓëyÖáÕý·½Ïò¼Ð½Ç30°£¬×ª¹ý150°
×î¶Ìʱ¼ä¶ÔÓ¦Á£×Ó³õËÙ¶ÈÓëyÖḺ·½Ïò¼Ð½Ç30°£¬×ª¹ý30°
t1£ºt2=5£»
£¨3£©Á£×ÓÉä³öʱÓëyÖḺ·½Ïò¼Ð½Ç¦È£¬ÔòÓÐ
Rsin¦È=a
µÃµ½£º¦È=45
ËÙ¶ÈvΪ£º
Éèµ½´ïyÖáËÙ¶Èv£¬Ôò
µãÆÀ£º´øµçÁ£×ÓÔڴų¡ÖеÄÔ˶¯ÀàÌâÄ¿¹Ø¼üÔÚÓÚÕÒ³öÔ²ÐÄÈ·¶¨°ë¾¶£¬ËùÒÔÔÚ½âÌâʱ¼¸ºÎ¹ØÏµÊǹؼü£¬Ó¦Áé»îÓ¦Óü¸ºÎ¹ØÏµ£¬Í¬Ê±½áºÏ»Í¼È¥ÕÒ³öºÏÀíµÄ½âÌâ·½·¨£®
Á·Ï°²áϵÁдð°¸
Ïà¹ØÌâÄ¿