题目内容

如图所示,两个质量均为m的物体A、B,用劲度系数为是的k轻质弹簧相连,被外力F提在空中静止,B离开地面的高度为h.释放后,A、B下落,且B与地面碰撞后不反弹,则外力F的大小为________;从下落到A的速度达到最大的过程中,A的重力势能的改变量_________.

答案:略
解析:

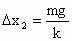
2mg

AB被外力F提在空中静止,因此F=2mg.在A物体的速度达到最大值时,A物体刚好受力平衡.在初始时弹簧的伸长量为;在A物体达到最大速度时,弹簧被压缩了,其被压缩的长度为,所以在此过程中,A物体下降的总高度为A物体的重力势能减少了


练习册系列答案
相关题目

违法和不良信息举报电话:027-86699610 举报邮箱:58377363@163.com

精英家教网