题目内容

两个质量相同的小球A和B,分别从水平地面上O点正上方高度分别为4L和L处水平抛出,恰好击中距离O点2L的地面上同一目标,空气阻力不计.以地面为零势能面,两小球抛出时的初速度大小之比为    ,落地时的机械能之比为   
【答案】分析:平抛运动在竖直方向上做自由落体运动,在水平方向上做匀速直线运动,根据平抛运动的特点即可求解,在运动过程中机械能守恒.
解答:解:平抛运动在竖直方向上做自由落体运动,所以

解得:

解得:
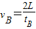
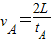
在水平方向上做匀速直线运动,
所以==
所以
以水平面为零势能面,则A球刚抛出时的机械能为:=,在运动过程中机械能守恒,所以落地时的机械能也为
B球刚抛出时的机械能为=2mgL,在运动过程中机械能守恒,所以落地时的机械能也为2mgL,
所以落地时的机械能之比为17:8
故答案为:1:2,17:8
点评:解决本题的关键知道平抛运动在竖直方向上做自由落体运动,在水平方向上做匀速直线运动,两运动具有等时性.
练习册系列答案
相关题目

违法和不良信息举报电话:027-86699610 举报邮箱:58377363@163.com

精英家教网