题目内容

如图所示,大量质量为m、电量为+q的带电粒子(不计重力),由静止开始经电场加速后沿水平方向从P点进入的匀强磁场,不计各粒子之间的作用力.已知磁感应强度为B,磁场的两边界线竖直且上下足够长,宽度为d.回答下列问题:

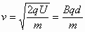
(1)加速电场的电压为U0时,粒子刚好能从磁场的右边界穿过,求U0=?

(2)若在P点加一个速度散射器(可使粒子速度方向变化,而不改变速度大小),使粒子从P点沿各个方向射入磁场,为使磁场右边界有粒子射出,加速电压至少应为多大?

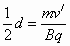
(3)在有速度散射器的情况下,将加速电压调为U=U0,则穿过磁场的粒子中,穿越磁场的最短时间为多少?

答案:
解析:

  解:(1) 

   

  解得:

  (2) 

  解得:

  (3)

  

  

  从图中得:最短时间的圆弧对的圆心角为:=60°

  所以:

  评分标准:(1)(2)(3)各5分


练习册系列答案
相关题目

违法和不良信息举报电话:027-86699610 举报邮箱:58377363@163.com

精英家教网