题目内容
一辆值勤的警车停在平直公路边,当警员发现从他旁边以v=8m/s的速度匀速驶过的货车有违章行为时,决定前去追赶,经2.5s,警车发动起来,以加速度a=2m/s2做匀加速运动,试问:(1)警车发动起来后要多长的时间才能追上违章的货车?
(2)在警车追上货车之前,两车间的最大距离是多少?
(3)若警车的最大速度是12m/s,则警车发动起来后要多长的时间才能追上违章的货车?
【答案】分析:(1)警车追上货车时,两车的路程相等,由此列方程可以求出警车追上货车的时间,注意警车在发动时间内,货车做匀速运动;
(2)刚开始货车的速度大于警车速度,故两车之间的距离越来越大,当两车速度相等时,位移最大;分别求出两车的路程,然后求出两车间的最大距离.
(3)若警车的最大速度是12m/s,先求出加速到最大速度的时间,再根据位移关系即可求解.
解答:解:(1)设警车发动起来后要时间t才能追上违章的货车,则
at2-vt=△s
△s=△t?v=2.5×8 m=20 m.
解得t=10 s或t=-2 s(舍去).
(2)在警车追上货车之前,两车速度相等时,两车间的距离最大,设警车发动起来后经时间t′两车速度相等,两车间的距离最大为sm,则:t′=4 s
sm=△x+v?t′-at′2=(20+8×4-×2×42) m=36 m.
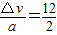
(3)若警车的最大速度是12 m/s,则警车发动起来后加速的时间:t=
s=6 s
设警车发动起来后经过时间t″追上违章的货车,则:at+vm(t″-t)-vt″=△x
解得t″=14 s.
答:(1)警车发动起来后要10s才能追上违章的货车;
(2)在警车追上货车之前,两车间的最大距离是36m;
(3)若警车的最大速度是12m/s,则警车发动起来后要14s时间才能追上违章的货车.
点评:两物体在同一直线上运动,往往涉及到追击、相遇或避免碰撞等问题,解答此类问题的关键是找出时间关系、速度关系、位移关系,注意两者速度相等时,往往是能否追上或者二者之间有最大或者最小值的临界条件.
(2)刚开始货车的速度大于警车速度,故两车之间的距离越来越大,当两车速度相等时,位移最大;分别求出两车的路程,然后求出两车间的最大距离.
(3)若警车的最大速度是12m/s,先求出加速到最大速度的时间,再根据位移关系即可求解.
解答:解:(1)设警车发动起来后要时间t才能追上违章的货车,则
△s=△t?v=2.5×8 m=20 m.
解得t=10 s或t=-2 s(舍去).
(2)在警车追上货车之前,两车速度相等时,两车间的距离最大,设警车发动起来后经时间t′两车速度相等,两车间的距离最大为sm,则:t′=4 s
sm=△x+v?t′-at′2=(20+8×4-×2×42) m=36 m.
(3)若警车的最大速度是12 m/s,则警车发动起来后加速的时间:t=
设警车发动起来后经过时间t″追上违章的货车,则:at+vm(t″-t)-vt″=△x
解得t″=14 s.
答:(1)警车发动起来后要10s才能追上违章的货车;
(2)在警车追上货车之前,两车间的最大距离是36m;
(3)若警车的最大速度是12m/s,则警车发动起来后要14s时间才能追上违章的货车.
点评:两物体在同一直线上运动,往往涉及到追击、相遇或避免碰撞等问题,解答此类问题的关键是找出时间关系、速度关系、位移关系,注意两者速度相等时,往往是能否追上或者二者之间有最大或者最小值的临界条件.
练习册系列答案
相关题目