题目内容

如图,为测量作匀加速直线运动小车的加速度,将宽度均为b的挡光片A、B固定在小车上,测得二者间距为d。

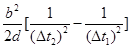
(1)当小车匀加速经过光电门时,测得两挡光片先后经过的时间,则小车加速度                   
(2)(多选题)为减小实验误差,可采取的方法是(       )
(A)增大两挡光片宽度         (B)减小两挡光片宽度
(C)增大两挡光片间距         (D)减小两挡光片间距

(1)  (2)B,C

解析

练习册系列答案
相关题目

违法和不良信息举报电话:027-86699610 举报邮箱:58377363@163.com

精英家教网