题目内容

某次实验纸带的记录如图所示,从A点起每隔5个点取一计时点,则D点的对应速度为________m/s,物体运动的加速度为________m/s2

答案:1.86,6.22
解析:

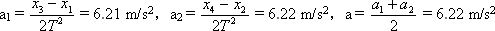
实际测量纸带上各点之间的位移x1、x2、x3……都是像本题这样做的:即先分别测量B、C、D、E各点倒计时起始点A的距离,再算出AB、BC、CD、DE之间的位移x1=3.07 cm、x2=9.31 cm、x3=15.49 cm、x4=21.75 cm,本题计时单位是T=0.1 s,;本题共有四段位移x1、x2、x3、x4,可先求


练习册系列答案
相关题目

违法和不良信息举报电话:027-86699610 举报邮箱:58377363@163.com

精英家教网