题目内容
某人造地球卫星因受高空稀薄空气的阻力作用,绕地球运转的轨道会慢慢改变,每次测量中卫星的运动可近似看作圆周运动,某次测量卫星的轨道半径为r1,后来变为r2,r1>r2,以Ekl、Ek2表示卫星在这个轨道上的动能,T1、T2表示卫星在这两个轨道上绕地球运动的周期,则( )A.Ek1<Ek2,T2<T1
B.Ek1<Ek2,T2>T1
C.Ek1>Ek2,T2<T1
D.Ek1>Ek2,T2>T1
【答案】分析:根据万有引力提供向心力,得出线速度、周期与轨道半径的关系,从而比较出卫星的动能和周期大小.
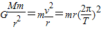
解答:解:根据
得,v=
,T=
,轨道半径变小,则线速度变大,所以动能变大.周期变小.故A正确,B、C、D错误.
故选A.
点评:解决本题的关键掌握万有引力提供向心力这一理论,知道线速度、角速度、周期等与轨道半径的关系.
解答:解:根据
故选A.
点评:解决本题的关键掌握万有引力提供向心力这一理论,知道线速度、角速度、周期等与轨道半径的关系.
练习册系列答案
相关题目
某人造地球卫星因受高空稀薄空气的阻力作用,绕地球运转的轨道会慢慢改变,每次测量中卫星的运动可近似看作圆周运动.某次测量卫星的轨道半径为r1,后来变为r2,r2<r1,以V1,V2表示卫星在这两个轨道上的速度,T1、T2表示卫星在这两个轨道上绕地球运动的周期,则( )
| A、V1>V2 T2<T1 | B、V1>V2 T2>T1 | C、V1<V2 T2<T1 | D、V1<V2 T2>T1 |