题目内容

我们国家在1996年成功发射了一颗实用地球同步卫星,从1999年至今已几次将“神舟”号宇宙飞船送入太空.在某次实验中,飞船在空中飞行了36h,环绕地球24圈.那么,同步卫星与飞船在轨道上正常运转相比较

[  ]

A.卫星运转周期比飞船大

B.卫星运转速度比飞船大

C.卫星运转加速度比飞船大

D.卫星离地高度比飞船大

答案:AD
解析:

宇宙飞船在太空中环绕地球运行时,飞船就相当于地球的一颗卫星,此卫星与同步卫星相比有一些不同.当然,也有相同之处,那就是万有引力提供向心力.

已知飞船周期

由④式得,选项A对.

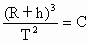
由②式得,(C为恒量),则知卫星离地高度大,选项D对.

由①式得,,则知卫星速度小,选项B错,

由③式得:,则知卫星加速度小,选项C错.

题目中的几个选项都是卫星运行时的一些常识,大家应对这些问题记住并能灵活运用.


练习册系列答案
相关题目

违法和不良信息举报电话:027-86699610 举报邮箱:58377363@163.com

精英家教网