题目内容
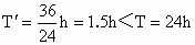
我们国家在1996年成功发射了一颗实用地球同步卫星,从1999年至今已几次将“神舟”号宇宙飞船送入太空.在某次实验中,飞船在空中飞行了36h,环绕地球24圈.那么,同步卫星与飞船在轨道上正常运转相比较
[ ]
A.卫星运转周期比飞船大
B.卫星运转速度比飞船大
C.卫星运转加速度比飞船大
D.卫星离地高度比飞船大
答案:AD
解析:
解析:
|
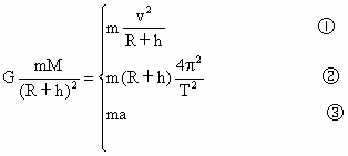
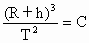
宇宙飞船在太空中环绕地球运行时,飞船就相当于地球的一颗卫星,此卫星与同步卫星相比有一些不同.当然,也有相同之处,那就是万有引力提供向心力.
由④式得,选项 A对.由②式得, 由①式得, 由③式得: 题目中的几个选项都是卫星运行时的一些常识,大家应对这些问题记住并能灵活运用. |
练习册系列答案
相关题目