题目内容
一个做匀加速直线运动的质点,在连续相等的两个时间间隔T内,通过的位移分别为x1和x2.求质点运动的初速度和加速度.
【答案】分析:根据连续相等时间内的位移之差是一恒量求出加速度的大小,根据某段时间内的平均速度等于中间时刻的瞬时速度,求出1T末的速度,从而根据速度时间公式求出质点的初速度.
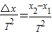
解答:解:根据△x=aT2得,
解得a=
.
根据某段时间内的平均速度等于中间时刻的瞬时速度,知1T末的速度v=
则初速度v=v-aT=
.
答:质点的初速度为
,加速度为
.
点评:解决本题的关键掌握匀变速直线运动的公式和推论,并能灵活运用.
解答:解:根据△x=aT2得,
解得a=
根据某段时间内的平均速度等于中间时刻的瞬时速度,知1T末的速度v=
则初速度v=v-aT=
答:质点的初速度为
点评:解决本题的关键掌握匀变速直线运动的公式和推论,并能灵活运用.
练习册系列答案
相关题目