题目内容

两质量均为2m的劈A和B,高度相同,放在光滑水平面上,A和B的倾斜面都是光滑曲面,曲面下端与水平面相切,如图所示,一质量为m的物块位于劈A的倾斜面上,距水平面的高度为h.物块从静止滑下,然后又滑上劈B.

求:(1)物块第一次离开劈A时,劈A的速度;

(2)物块在劈B上能够达到的最大高度.(重力加速度为g)

答案:
解析:

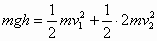
  解:设滑块第一次离开A时的速度为,A的速度为,由系统动量守恒得:(1)

  系统机械能守恒得:(2)

  由(1)(2)解得:

  (2)物块在劈B上达到最大高度时两者速度相同,设为,由系统动量守恒和机械能守恒得

  (3)

  (4)

  由(3)(4)解得:


练习册系列答案
相关题目

违法和不良信息举报电话:027-86699610 举报邮箱:58377363@163.com

精英家教网