题目内容
“神舟九号”与“天宫一号”在对接前,在各自轨道上运行,他们的轨道如图所示,假定它们都做匀速圆周运动,则( )A.“神舟九号”运行速度较大,所以要减速才能与“天宫一号”对接
B.“天宫一号”的运行周期更长
C.“天宫一号”的加速度更大
D.宇航员在“神舟九号”上做科学实验时不受地球引力作用
【答案】分析:根据万有引力提供向心力,得出线速度、加速度、周期与轨道半径的关系,从而比较出它们的大小.
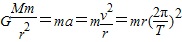
解答:解:A、根据
得,a=
,v=
,
.知轨道半径越大,加速度、线速度越小,周期越大.所以神舟九号的线速度较大,天宫一号的周期较长,加速度较小.神舟九号需加速做离心运动才能与天宫一号对接.故A、C错误,B正确.
D、神舟九号上的宇航员也受到地球的万有引力,靠万有引力提供向心力,绕地球做圆周运动.故D错误.
故选B.
点评:解决本题的关键掌握万有引力提供向心力这一理论,并能熟练运用.
解答:解:A、根据
D、神舟九号上的宇航员也受到地球的万有引力,靠万有引力提供向心力,绕地球做圆周运动.故D错误.
故选B.
点评:解决本题的关键掌握万有引力提供向心力这一理论,并能熟练运用.
练习册系列答案
相关题目