题目内容
一电子经过加速电场加速后沿中线进入两平行金属板间,在板间被电场力作用产生偏转.已知加速电压U1=100V,平行金属板长度为L=20cm,板间距离d=6cm.偏转电压由如图所示电路提供,滑动变阻器总电阻为20Ω,当开关拔至1、滑动触头拔至中央时,发现电子刚好能从上极板边缘飞出.已知电源E1无内阻,E2=10.8V,内阻r=4Ω.现要使电子刚从下极板边缘飞出,可把开关拔至2,并调节滑动触头达到目的.求:(1)电源E1的电动势大小
(2)开关拔至2后,滑动触头应调至什么地方?
【答案】分析:(1)带电粒子在电场中做类平抛运动,根据动能定理和动力学知识求出偏转的位移与加速电压和偏转电压的关系,求出偏转电压的大小,根据闭合电路欧姆定律求出电源E1的电动势大小.
(2)把开关拔至2,并调节滑动触头,使电子刚从下极板边缘飞出,通过偏转电压结合闭合电路欧姆定律求出与平行板并联部分的电阻.
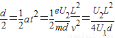
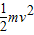
解答:解:(1)根据动能定理得,eU1=
.
做类平抛运动时,t=
则偏转位移y=
.
解得偏转电压U2=9V.
根据闭合电路欧姆定律得,电源电动势E1=2U2=18V.
(2)开关拔至2后,闭合电路中的电流I=
.
所以与平行板并联的电阻R=
.
所以滑动触头应调至A处.
答:(1)电源E1的电动势大小E1=18V
(2)滑动触头滑到A端.
点评:本题综合运用了动能定理和动力学知识,以及闭合电路欧姆定律,关键求出偏转电压,从而再根据闭合电路欧姆定律求解.
(2)把开关拔至2,并调节滑动触头,使电子刚从下极板边缘飞出,通过偏转电压结合闭合电路欧姆定律求出与平行板并联部分的电阻.
解答:解:(1)根据动能定理得,eU1=
做类平抛运动时,t=
则偏转位移y=
解得偏转电压U2=9V.
根据闭合电路欧姆定律得,电源电动势E1=2U2=18V.
(2)开关拔至2后,闭合电路中的电流I=
所以与平行板并联的电阻R=
所以滑动触头应调至A处.
答:(1)电源E1的电动势大小E1=18V
(2)滑动触头滑到A端.
点评:本题综合运用了动能定理和动力学知识,以及闭合电路欧姆定律,关键求出偏转电压,从而再根据闭合电路欧姆定律求解.
练习册系列答案
相关题目