题目内容
星球上的物体脱离星球引力所需要的最小速度称为该星球的第二宇宙速度,星球的第二宇宙速度v2与第一宇宙速度v1的关系是
。已知某星球的半径为r,它表面的重力加速度为地球表面重力加速度g的1/6,不计其他星球的影响,则该星球的第二宇宙速度为
A.
B.
C.
D.![]()
【答案】
C
【解析】
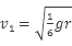
试题分析:由
可知地球的第一宇宙速度:
,所以该星球的第一宇宙速度为:
,所以该星球的第二宇宙速度:
,C选项正确。
考点:第一宇宙速度
练习册系列答案
相关题目
星球上的物体脱离星球引力所需要的最小速度称为该星球的第二宇宙速度,星球的第二宇宙速度v2与第一宇宙速度v1的关系是v2=
v1.已知某星球的半径为r,它表面的重力加速度为地球表面重力加速度g的
,不计其他星球的影响,则该星球的第二宇宙速度为( )
| 2 |
| 1 |
| 6 |
A、
| ||||
B、
| ||||
C、
| ||||
D、
|