题目内容
一个1.0×10-5C的电荷从电场中某点B移到电场里另一点A,外力克服电场力作功6.0×10-3J,则A、B两点的电势差U= V;如果此电荷从B移到电场里的另一点C时,电场力作功0.02J,如果另一个电量是0.2C的负电荷从A移到C,则电场力作功 J.
【答案】分析:根据公式UAB=
求解A、B两点的电势差U.再用类似的方法求出BC间电势差,AC间电势差UAC=UAB+UBC,求出AC间电势差,再求出负电荷从A移到C电场力作功.
解答:解:A、B两点的电势差UAB=
=-
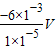
=600V,B、C两点的电势差UBC=
=
V=2000V,则A、C间电势差UAC=UAB+UBC=2600V,电量是0.2C的负电荷从A移到C,电场力作功为WAC=qUAC=-0.2×2600J=-520J
故答案为:600,-520
点评:本题在应用电势差计算时,要注意电荷移动的方向,外力克服电场做功时电场力做负功.
解答:解:A、B两点的电势差UAB=
故答案为:600,-520
点评:本题在应用电势差计算时,要注意电荷移动的方向,外力克服电场做功时电场力做负功.
练习册系列答案
相关题目