题目内容
如图所示,劲度系数为k1的轻质弹簧两端分别与质量为m1、m2的物块1、2拴接,劲度系数为k2的轻质弹簧上端与物块2拴接,下端压在桌面上(不拴接),整个系统处于平衡状态.现施力将物块1缓慢竖直上提,直到下面那个弹簧的下端刚脱离桌面.在此过程中,物块2的重力势能增加了______,物块1的重力势能增加了______.
【答案】分析:开始时两弹簧均处于压缩状态,劲度系数为k1的轻弹簧的弹力大小等于质量为m1物块的重力,劲度系数为k2的轻弹簧的弹力大小等于质量为m1、m2的物块总重力.当施力将物块1缓缦地竖直上提,直到下面那个弹簧的下端刚脱离桌面时,下面的弹簧恢复到原长,而上面的弹簧却处于拉伸状态.因此通过胡克定律算出两个弹簧的变化量,从而算出物块2和物块1的重力势能的增加量.
解答:解:劲度系数为k1的轻弹簧处于压缩状态,压缩量为:
处于拉伸状态时的拉伸量为:
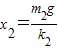
开始平衡时,劲度系数为k2的轻弹簧处于压缩状态,压缩量为:
物块2重力势能增加了:
物块1重力势能的增加量为:
故答案为:
,
.
点评:劲度系数为k1的轻弹簧本身处于压缩,之后处于拉伸,所以通过胡克定律求出两形变量相加.而劲度系数为k2的轻弹簧本来处于压缩,之后恢复原长,因此求解弹簧问题注意要用动态的思想进行.
解答:解:劲度系数为k1的轻弹簧处于压缩状态,压缩量为:
处于拉伸状态时的拉伸量为:
开始平衡时,劲度系数为k2的轻弹簧处于压缩状态,压缩量为:
物块2重力势能增加了:
物块1重力势能的增加量为:
故答案为:
点评:劲度系数为k1的轻弹簧本身处于压缩,之后处于拉伸,所以通过胡克定律求出两形变量相加.而劲度系数为k2的轻弹簧本来处于压缩,之后恢复原长,因此求解弹簧问题注意要用动态的思想进行.
练习册系列答案
相关题目
| A、Lo | ||
B、
| ||
C、
| ||
D、
|