题目内容
如图所示电路中,电源电压U为15V,小灯泡L标有“6V,6W”字样,电流表示数为1A,电压表示数为12V,求:(1)电阻R1的阻值;
(1)小灯泡的实际功率;
(2)电阻R2消耗的功率.
【答案】分析:(1)电阻R1与电灯L并联后与电阻R2串联,并联部分电压等于电源电压减去电阻R2两端的电压,根据欧姆定律求解电阻R1;
(2)先根据P=
求解灯泡电阻,然后再根据P=
求解实际功率;
(3)先求解出灯泡的电流,然后得到干路电流,最后根据P=I2R求解电阻R2消耗的功率.
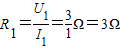
解答:解:(1)电阻R1两端的电压U1=U-U2=(15-12)V=3V
∴
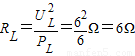
(2)小灯泡电阻
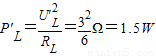
灯泡电压U'L=U1=3V
∴
(3)灯泡的电流
干路电流I2=I'L+I1=(0.5+1)A=1.5A
∴P2=I2?U2=1.5×12W=18W
答:(1)电阻R1的阻值为3Ω;
(1)小灯泡的实际功率为1.5W;
(2)电阻R2消耗的功率为18W.
点评:本题关键先理清电路的串并联结构,然后根据串并联电路的电流与电压的关系、欧姆定律、电功率公式列式求解,不难.
(2)先根据P=
(3)先求解出灯泡的电流,然后得到干路电流,最后根据P=I2R求解电阻R2消耗的功率.
解答:解:(1)电阻R1两端的电压U1=U-U2=(15-12)V=3V
∴
(2)小灯泡电阻
灯泡电压U'L=U1=3V
∴
(3)灯泡的电流
干路电流I2=I'L+I1=(0.5+1)A=1.5A
∴P2=I2?U2=1.5×12W=18W
答:(1)电阻R1的阻值为3Ω;
(1)小灯泡的实际功率为1.5W;
(2)电阻R2消耗的功率为18W.
点评:本题关键先理清电路的串并联结构,然后根据串并联电路的电流与电压的关系、欧姆定律、电功率公式列式求解,不难.
练习册系列答案
相关题目
| 3 |
| 4 |
| A、电压表的示数始终小于U |
| B、电流表的示数始终大于I |
| C、电压表的示数先增大后减小 |
| D、电流表的示数先减小后增大 |
| A、增大R2 | B、减小R2 | C、减小R1 | D、灯泡L短路 |
| A、电阻R1的功率将减小 | B、电阻R2的功率将增大 | C、电源的功率将加大 | D、电源的效率将增加 |