题目内容

如图所示,在x轴上方有匀强磁场(磁感强度为B),一个质量为m,带电量为q的粒子以速度v0从坐标原点O射入磁场,v0 与x轴的负方向夹角为,不计重力,求粒子在磁场中飞行的时间和飞出磁场的坐标(磁场垂直纸面,不考虑粒子的重力)

答案:
解析:

  粒子进入磁场做圆周运动,由于不知道粒子的带电性质和磁场的方向,因此其轨迹并不确定,但只有两种情形,要么如图(甲)所示,要么如图(乙)所示,

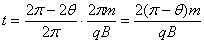
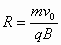
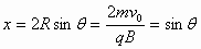
  首先分析图甲:作v0的垂直线段,切取OC=0,C即为圆面积心,画出其轨迹如图,.由几何关系可得,所以粒子在磁场中飞行的时间为

  P点的坐标为

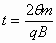
  再看图乙:由几何关系得,粒子在磁场中飞行的时间为,P点的坐标为


练习册系列答案
相关题目

违法和不良信息举报电话:027-86699610 举报邮箱:58377363@163.com

精英家教网