题目内容

如图所示,竖直圆筒内壁光滑,半径为R,顶部有入口A,在A的正下方h处有出口B,一质量为m的小球从入口A沿圆筒壁切线方向水平射入圆筒,要使球从B处飞出,小球进入入口A处的速度v0应满足什么条件?在运动过程中,球对筒的压力是多大?

答案:
解析:

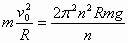
  解析:设小球下落时间为t,则h=,t=,要保证小球从B点射出,该段时间内小球转n圈,则t=,故v0(n=1,2,3,…),小球做圆周运动需要的向心力F=(n=1,2,3,…),由牛顿第三定律可知球对筒壁的压力为(n=1,2,3,…),可化简得=2π2nRmg(n=1,2,3,…).

  思路分析:该题是圆周运动与自由落体运动相结合的题目,小球在竖直方向上只受重力,做自由落体运动,小球在水平方向筒壁的弹力提供小球做圆周运动的向心力.


练习册系列答案
相关题目

违法和不良信息举报电话:027-86699610 举报邮箱:58377363@163.com

精英家教网