题目内容
如图,质量为M的长木板静止在光滑水平地面上,在木板右端有质量为m的小物块,现给物块一个水平向左的初速度v,物块向左滑行并与固定在木板左端的轻弹簧相碰,碰后返回并恰好停在长木板右端,求:(1)弹簧弹性势能的最大值
(2)物块在木板上滑行过程中摩擦力做的总功.
【答案】分析:(1)小物块向左运动过程中,物块、木板、组成的系统动量守恒,当物块与弹簧达到共同速度时,弹簧压缩到最短,弹性势能最大
(2)物块在木板上滑行过程中摩擦力做的总功等于系统机械能的减少量
解答:解:(1)设物块运动方向为正方向,弹簧压缩最大时,两者最终共同速度为v由动量守恒定律得:
(M+m)v=mvo

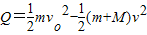
由于物块最终停在木板最右端,故最终两者共同速度为v,由能量守恒得,整个过程放出的总热:
=
所以,弹簧压缩到最大时具有的弹性势能:
Ep=
=
(2)物块在木板上滑行过程中摩擦力做的总功数值上等于放出的热量,故:
Wf=Q=
答:(1)弹簧弹性势能的最大值为
(2)摩擦力做的总功为
点评:本题是系统的动量守恒和能量守恒问题,分两个过程进行研究,要抓住物块与木板两次共同速度相同.
(2)物块在木板上滑行过程中摩擦力做的总功等于系统机械能的减少量
解答:解:(1)设物块运动方向为正方向,弹簧压缩最大时,两者最终共同速度为v由动量守恒定律得:
(M+m)v=mvo
由于物块最终停在木板最右端,故最终两者共同速度为v,由能量守恒得,整个过程放出的总热:
所以,弹簧压缩到最大时具有的弹性势能:
Ep=
(2)物块在木板上滑行过程中摩擦力做的总功数值上等于放出的热量,故:
Wf=Q=
答:(1)弹簧弹性势能的最大值为
(2)摩擦力做的总功为
点评:本题是系统的动量守恒和能量守恒问题,分两个过程进行研究,要抓住物块与木板两次共同速度相同.
练习册系列答案
相关题目