题目内容
如图,ABD为竖直平面内的光滑绝缘轨道,其中AB段是水平的,BD段为半径R=0.2m的半圆,两段轨道相切于B点,整个轨道处在竖直向下的匀强电场中,场强大小E=5.0×103V/m.一不带电的绝缘小球甲,以速度υ沿水平轨道向右运动,与静止在B点带正电的小球乙发生弹性碰撞.已知乙球的质量为m=1.0×10-2kg,乙所带电荷量q=2.0×10-5C,甲球质量为乙球质量的k倍,g取10m/s2.(水平轨道足够长,甲、乙两球可视为质点,整个运动过程无电荷转移)(1)若k=1,且甲乙两球碰撞后,乙恰能通过轨道的最高点D,求甲的速度υ;
(2)若k>1,且甲仍以(1)中的速度υ向右运动,求乙在轨道上的首次落点到B点的距离范围.
【答案】分析:(1)由于两个球发生的是弹性碰撞,所以动量守恒,机械能也守恒,列出方程可以求出甲的速度v;
(2)对乙受力分析,乙离开最高点之后,做类平抛运动,竖直方向上匀加速运动,水平方向上匀速运动;乙求经过D点后的最小的速度应该是vD,再由动量守恒分析可得最大的速度,根据平抛运动水平方向的运动规律,可以求得范围的大小.
解答:解:(1)在乙恰能通过轨道的最高点的情况下,设乙到达最高点的速度为vD,乙离开D点到达水平轨道的时间为t,乙的落点到B点的距离为x,则
①
设碰撞后甲、乙的速度分别为v甲、v乙,
根据动量守恒有:
kmv=kmv甲+mv乙 ②
③
联立②③得:
④
由k=1,则v乙=v
由动能定理得:
⑤
联立①④⑤得:
m/s ⑥
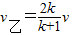
(2)甲、乙完全弹性碰撞,碰撞后甲、乙的速度分别为v甲、v乙,由②③得
解得
⑦
又k>1,则v<v乙<2v ⑧
设乙球过D点的速度为vD′,由动能定理得
⑨
解得:2m/s<vD′<8m/s ⑩
设乙在水平轨道上的落点到B点的距离为x′,则有:
x′=vD′t
联立解得:0.4m≤x'<1.6m
答:(1)甲的速度是
m/s;
(2)乙在轨道上的首次落点到B点的距离范围是0.4m≤x′<1.6m.
点评:在本题中物体不仅受重力的作用,还有电场力,在解题的过程中,一定要分析清楚物体的受力和运动过程,两球在碰撞过程中动量守恒,碰后机械能守恒,题目中物体的运动过程比较复杂,在解题是一定分析清楚运动过程.
(2)对乙受力分析,乙离开最高点之后,做类平抛运动,竖直方向上匀加速运动,水平方向上匀速运动;乙求经过D点后的最小的速度应该是vD,再由动量守恒分析可得最大的速度,根据平抛运动水平方向的运动规律,可以求得范围的大小.
解答:解:(1)在乙恰能通过轨道的最高点的情况下,设乙到达最高点的速度为vD,乙离开D点到达水平轨道的时间为t,乙的落点到B点的距离为x,则
设碰撞后甲、乙的速度分别为v甲、v乙,
根据动量守恒有:
kmv=kmv甲+mv乙 ②
联立②③得:
由k=1,则v乙=v
由动能定理得:
联立①④⑤得:
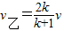
(2)甲、乙完全弹性碰撞,碰撞后甲、乙的速度分别为v甲、v乙,由②③得
解得
又k>1,则v<v乙<2v ⑧
设乙球过D点的速度为vD′,由动能定理得
解得:2m/s<vD′<8m/s ⑩
设乙在水平轨道上的落点到B点的距离为x′,则有:
x′=vD′t
联立解得:0.4m≤x'<1.6m
答:(1)甲的速度是
(2)乙在轨道上的首次落点到B点的距离范围是0.4m≤x′<1.6m.
点评:在本题中物体不仅受重力的作用,还有电场力,在解题的过程中,一定要分析清楚物体的受力和运动过程,两球在碰撞过程中动量守恒,碰后机械能守恒,题目中物体的运动过程比较复杂,在解题是一定分析清楚运动过程.
练习册系列答案
相关题目