题目内容
(1)求推力F的大小;
(2)若人不改变推力F的大小,只把力的方向变为水平去推这个静止的箱子,推力作用时间t=3s后撤去,求撤去推力F后箱子还能滑行多远停下来?
【答案】分析:(1)分析箱子的受力情况,作出力图,根据平衡条件和摩擦力公式求出推力.
(2)把力的方向变为水平后,箱子做匀加速运动,撤去推力F后箱子做匀减速运动,根据牛顿第二定律和运动结合求出滑行距离.
解答:
解:(1)选箱子为研究对象,其受力如图所示.
由平衡条件知:Fcos30°=f1=μN
N=G+Fsin30°
(2)箱子先匀加速运动,后做匀减速运动.过程示意图和受力分析如图所示.
前3s内:
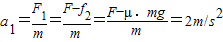
3s末:v=a1t1=6m/s
撤去F后:
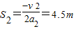
设箱子还能滑行S2,由:0-v2=2a2S2
得

答:
(1)推力F的大小为120N;
(2)撤去推力F后箱子还能滑行4.5m停下来.
点评:对于动力学问题,两大分析是关键,即物体的受力情况分析和运动情况分析,采用牛顿运动定律和运动学公式结合求解是基本方法.
(2)把力的方向变为水平后,箱子做匀加速运动,撤去推力F后箱子做匀减速运动,根据牛顿第二定律和运动结合求出滑行距离.
解答:
由平衡条件知:Fcos30°=f1=μN
N=G+Fsin30°
(2)箱子先匀加速运动,后做匀减速运动.过程示意图和受力分析如图所示.
前3s内:
3s末:v=a1t1=6m/s
撤去F后:
设箱子还能滑行S2,由:0-v2=2a2S2
得
答:
(1)推力F的大小为120N;
(2)撤去推力F后箱子还能滑行4.5m停下来.
点评:对于动力学问题,两大分析是关键,即物体的受力情况分析和运动情况分析,采用牛顿运动定律和运动学公式结合求解是基本方法.
练习册系列答案
相关题目