题目内容
A.卫星在轨道3上的速率大于它在轨道1上的速率
B.卫星在轨道3上的角速度小于它在轨道1上的角速度
C.卫星在轨道1上经过Q点时的速率小于它在轨道2上经过Q点时的速率
D.卫星在轨道2上经过P点时的速率小于它在轨道3上经过P点时的速率
【答案】分析:根据人造卫星的万有引力等于向心力,列式求出线速度、角速度、和向心力的表达式进行讨论即可.
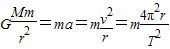
解答:解:A、人造卫星绕地球做匀速圆周运动,根据万有引力提供向心力,设卫星的质量为m、轨道半径为r、地球质量为M,有

解得:
v=
轨道3半径比轨道1半径大,卫星在轨道1上线速度较大,故A错误;
B、ω=
轨道3半径比轨道1半径大,卫星在轨道3上线速度较小,故B正确;
C、从轨道Ⅰ到轨道Ⅱ,卫星在Q点是做逐渐远离圆心的运动,要实现这个运动必须使卫星所需向心力大于万有引力,所以应给卫星加速,增加所需的向心力.所以在轨道Ⅱ上Q点的速度大于轨道上ⅠQ点的速度.故C正确.
D、根据C选项的分析可知D正确.
故选BCD.
点评:本题关键抓住万有引力提供向心力,先列式求解出线速度和角速度的表达式,再进行讨论.
解答:解:A、人造卫星绕地球做匀速圆周运动,根据万有引力提供向心力,设卫星的质量为m、轨道半径为r、地球质量为M,有
解得:
v=
轨道3半径比轨道1半径大,卫星在轨道1上线速度较大,故A错误;
B、ω=
轨道3半径比轨道1半径大,卫星在轨道3上线速度较小,故B正确;
C、从轨道Ⅰ到轨道Ⅱ,卫星在Q点是做逐渐远离圆心的运动,要实现这个运动必须使卫星所需向心力大于万有引力,所以应给卫星加速,增加所需的向心力.所以在轨道Ⅱ上Q点的速度大于轨道上ⅠQ点的速度.故C正确.
D、根据C选项的分析可知D正确.
故选BCD.
点评:本题关键抓住万有引力提供向心力,先列式求解出线速度和角速度的表达式,再进行讨论.
练习册系列答案
相关题目