ÌâÄ¿ÄÚÈÝ
ÈçͼËùʾ£¬ÊúÖ±Æ½ÃæÄÚÓÐÒ»¶Î²»¹â»¬µÄбֱ¹ìµÀÓë¹â»¬µÄÔ²ÐιìµÀÏàÇУ¬ÇеãPÓëÔ²ÐÄOµÄÁ¬ÏßÓëÊúÖ±·½ÏòµÄ¼Ð½ÇΪ¦È=60°£¬Ô²ÐιìµÀµÄ°ë¾¶ÎªR£¬Ò»ÖÊÁ¿ÎªmµÄСÎï¿é´Óб¹ìµÀÉÏAµãÓɾ²Ö¹¿ªÊ¼Ï»¬£¬È»ºóÑØÔ²ÐιìµÀÔ˶¯£¬AµãÏà¶ÔÔ²ÐιìµÀµ×²¿µÄ¸ß¶Èh=7R£¬Îï¿éͨ¹ýÔ²ÐιìµÀ×î¸ßµãcʱ£¬Óë¹ìµÀ¼äµÄѹÁ¦´óСΪ3mg£®Ç󣺣¨1£©Îï¿éͨ¹ý¹ìµÀ×î¸ßµãʱµÄËÙ¶È´óС£¿
£¨2£©Îï¿éͨ¹ý¹ìµÀ×îµÍµãBʱ¶Ô¹ìµÀµÄѹÁ¦´óС£¿
£¨3£©Îï¿éÓëбֱ¹ìµÀ¼äµÄ¶¯Ä¦²ÁÒòÊý¦Ì=£¿
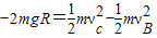
¡¾´ð°¸¡¿·ÖÎö£º¶ÔÎï¿éͨ¹ý¹ìµÀ×î¸ßµãCʱÊÜÁ¦·ÖÎö£¬ÔËÓÃÅ£¶ÙµÚ¶þ¶¨ÂÉÇó½âCµãËÙ¶È£®
ÔËÓö¯Äܶ¨ÀíÑо¿´Ó×îµÍµãBµ½×î¸ßµãC£¬ÔËÓÃÅ£¶ÙµÚ¶þ¶¨ÂÉÇó½âÎï¿éͨ¹ý¹ìµÀ×îµÍµãBʱ¶Ô¹ìµÀµÄѹÁ¦´óС£®
¸ùé§¶¯Äܶ¨ÀíÑо¿AÔ˶¯µ½BÁгöµÈʽÇó³öÎï¿éÓëбֱ¹ìµÀ¼äµÄ¶¯Ä¦²ÁÒòÊý£®
½â´ð£º½â£º£¨1£©¶ÔÎï¿éͨ¹ý¹ìµÀ×î¸ßµãCʱÊÜÁ¦·ÖÎö£ºCµã£º
µÃ£º
£¨2£©´Ó×îµÍµãBµ½×î¸ßµãC£º


Îï¿éͨ¹ý¹ìµÀ×îµÍµãBʱ£º
µÃ£ºNB=9mg
¸ù¾ÝÅ£¶ÙµÚÈý¶¨ÂÉ£¬Îï¿éͨ¹ý¹ìµÀ×îµÍµãBʱ¶Ô¹ìµÀµÄѹÁ¦´óСΪ9mg
£¨3£©¸ùé§¶¯Äܶ¨Àí£¬ÓÉAÔ˶¯µ½BÓУº


Ssin¦È=h-R+Rcos¦È
½âµÃ¦Ì=
´ð£º£¨1£©Îï¿éͨ¹ý¹ìµÀ×î¸ßµãʱµÄËÙ¶ÈÊÇ
£¨2£©Îï¿éͨ¹ý¹ìµÀ×îµÍµãBʱ¶Ô¹ìµÀµÄѹÁ¦´óСÊÇ9mg
£¨3£©Îï¿éÓëбֱ¹ìµÀ¼äµÄ¶¯Ä¦²ÁÒòÊýÊÇ
µãÆÀ£º×¢ÒâÇó½âµÄÎÊÌ⣬±ðÍüÁËÅ£¶ÙµÚÈý¶¨ÂɵÄÓ¦Óã®¶¯Äܶ¨ÀíµÄÓ¦Ó÷¶Î§ºÜ¹ã£¬¿ÉÒÔÇóËÙ¶È¡¢Á¦¡¢¹¦µÈÎïÀíÁ¿£¬°üÀ¨¶¯Ä¦²ÁÒòËØ£®
ÔËÓö¯Äܶ¨ÀíÑо¿´Ó×îµÍµãBµ½×î¸ßµãC£¬ÔËÓÃÅ£¶ÙµÚ¶þ¶¨ÂÉÇó½âÎï¿éͨ¹ý¹ìµÀ×îµÍµãBʱ¶Ô¹ìµÀµÄѹÁ¦´óС£®
¸ùé§¶¯Äܶ¨ÀíÑо¿AÔ˶¯µ½BÁгöµÈʽÇó³öÎï¿éÓëбֱ¹ìµÀ¼äµÄ¶¯Ä¦²ÁÒòÊý£®
½â´ð£º½â£º£¨1£©¶ÔÎï¿éͨ¹ý¹ìµÀ×î¸ßµãCʱÊÜÁ¦·ÖÎö£ºCµã£º
µÃ£º
£¨2£©´Ó×îµÍµãBµ½×î¸ßµãC£º
Îï¿éͨ¹ý¹ìµÀ×îµÍµãBʱ£º
µÃ£ºNB=9mg
¸ù¾ÝÅ£¶ÙµÚÈý¶¨ÂÉ£¬Îï¿éͨ¹ý¹ìµÀ×îµÍµãBʱ¶Ô¹ìµÀµÄѹÁ¦´óСΪ9mg
£¨3£©¸ùé§¶¯Äܶ¨Àí£¬ÓÉAÔ˶¯µ½BÓУº
Ssin¦È=h-R+Rcos¦È
½âµÃ¦Ì=
´ð£º£¨1£©Îï¿éͨ¹ý¹ìµÀ×î¸ßµãʱµÄËÙ¶ÈÊÇ
£¨2£©Îï¿éͨ¹ý¹ìµÀ×îµÍµãBʱ¶Ô¹ìµÀµÄѹÁ¦´óСÊÇ9mg
£¨3£©Îï¿éÓëбֱ¹ìµÀ¼äµÄ¶¯Ä¦²ÁÒòÊýÊÇ
µãÆÀ£º×¢ÒâÇó½âµÄÎÊÌ⣬±ðÍüÁËÅ£¶ÙµÚÈý¶¨ÂɵÄÓ¦Óã®¶¯Äܶ¨ÀíµÄÓ¦Ó÷¶Î§ºÜ¹ã£¬¿ÉÒÔÇóËÙ¶È¡¢Á¦¡¢¹¦µÈÎïÀíÁ¿£¬°üÀ¨¶¯Ä¦²ÁÒòËØ£®
Á·Ï°²áϵÁдð°¸
Ïà¹ØÌâÄ¿
| A¡¢Ð¡»·´ÓAµãÔ˶¯µ½BµãµÄ¹ý³ÌÖУ¬µ¯»ÉµÄµ¯ÐÔÊÆÄÜÏȼõСºóÔö´ó | ||
| B¡¢Ð¡»·´ÓAµãÔ˶¯µ½BµãµÄ¹ý³ÌÖУ¬Ð¡»·µÄµçÊÆÄÜÒ»Ö±Ôö´ó | ||
C¡¢µç³¡Ç¿¶ÈµÄ´óСE=
| ||
D¡¢Ð¡»·ÔÚAµãʱÊܵ½´ó»·¶ÔËüµÄµ¯Á¦´óСF=mg+
|