题目内容

(14分)一小圆盘静止在桌布上,位于一方桌的水平桌面的中央。桌布的一边与桌的边重合,如图。已知盘与桌布间的动摩擦因数为,盘与桌面间的动摩擦因数为。现突然以恒定加速度将桌布抽离桌面,加速度方向是水平的且垂直于边。若圆盘最后未从桌面掉下,则加速度满足的条件是什么? (以表示重力加速度)

 

 

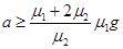
【答案】

【解析】

试题分析:设圆盘的质量为m,桌长为l,在桌布从圆盘上抽出的过程中,盘的加速度为,有

桌布抽出后,盘在桌面上作匀减速运动,以表示加速度的大小,有

设盘刚离开桌布时的速度为,移动的距离为,离开桌布后在桌面上再运动距离后便停下,有   

盘没有从桌面上掉下的条件是

设桌布从盘下抽出所经历时间为t,在这段时间内桌布移动的距离为x,有

由以上各式解得

考点:相对运动

 

练习册系列答案
相关题目

违法和不良信息举报电话:027-86699610 举报邮箱:58377363@163.com

精英家教网