题目内容

一小圆盘静止在桌布上,位于一方桌的水平桌面的中央。桌布的一边与桌的AB边重合,如图14所示。已知盘与桌布间的动摩擦因数为μ1,盘与桌面间的动摩擦因数为μ2。现突然以恒定加速度a将桌布抽离桌面,加速度方向是水平的且垂直于AB边。若圆盘最后未从桌面掉下,则加速度a满足的条件是什么?(以g表示重力加速度

此题是物体间有相对运动的临界问题,主要考查牛顿第二定律和运动学公式,找出圆盘不从桌面上掉下来的条件是解题的关键。

设圆盘的质量为m,桌长为l,在桌布从圆盘上抽出的过程中,盘的加速度为a1,有 


桌布抽出后,盘在桌面上作匀减速运动,以a2表示加速度的大小,有

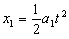
设盘刚离开桌布时的速度为v1,移动的距离为x1,离开桌布后在桌面上再运动距离x2后便停下,有

盘没有从桌面上掉下的条件是

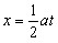
设桌布从盘下抽出所经历时间为t,在这段时间内桌布移动的距离为x,有


又因为

由以上各式解得:

练习册系列答案
相关题目

违法和不良信息举报电话:027-86699610 举报邮箱:58377363@163.com

精英家教网