题目内容
2010年10月1日在我国西昌卫星发射中心成功发射了“嫦娥二号”探月卫星,其环月飞行的高度距离月球表面100km,所探测到的有关月球的数据比环月飞行高度为200km的嫦娥一号更加翔实。若两颗卫星环月运行均可视为匀速圆周运动,运行轨道如图所示,则
A.嫦娥二号环月运行的周期比嫦娥一号更小
B.嫦娥二号环月运行的周期比嫦娥一号更大
C.嫦娥二号环月运行的向心加速度比嫦娥一号更小
D.嫦娥二号环月运行的向心加速度与嫦娥一号相等
【答案】
A
【解析】
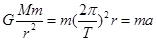
试题分析:根据
,解得
,所以嫦娥二号环月运行的周期比嫦娥一号更小;
,所以.嫦娥二号环月运行的向心加速度比嫦娥一号更大。选项A正确。
考点:此题考查万有引力定律及牛顿定律。
练习册系列答案
相关题目
2010年10月1日18时59分57秒,我国在西昌卫星发射中心用“长征三号丙”运载火箭将“嫦娥二号”卫星成功送入太空.已知地球自转周期 T0,月球半径R,卫星距离月球表面的高度h,月球表面的重力加速度g,万有引力常量G.下列说法中正确的是( )
A、月球的质量M=
| ||||||
B、卫星的角速度与地球自转的角速度之比为
| ||||||
C、月球的密度ρ=
| ||||||
D、卫星绕月球运行的速率v=
|