题目内容
一平行板电容器,已知极板长度为L,板间距离为d,两极板间所加电压为U.一质量为m、电荷量为q的带电粒子(不计重力),沿两极板中线以某一初速度进入电场,恰好从极板边缘飞出.则根据上述已知量能够求得下列哪些物理量( )A.速度的偏转角
B.离开电场时的动能
C.离开电场时的电势能
D.在电场中的运动时间
【答案】分析:粒子在电场中做类平抛运动,根据平抛运动的规律,由牛顿第二定律和运动学公式结合进行分析.
解答:解:粒子在电场中做类平抛运动,平行于极板方向做匀速直线运动,垂直于极板方向做初速度为零的匀加速直线运动,则
运动时间为t=
离开电场时垂直于极板方向的分速度为vy=at,加速度a=
设偏转角度为θ,则tanθ=
联立解得,tanθ=
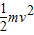
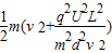
离开电场时的动能为Ek=
=
=
.
由题,L、v、m、q、U均已知,故可求出θ、离开电场时的动能Ek、在电场中的运动时间t三个量.故ABD正确.
C、电势能是相对的,由于零电势点未知,无法求出离开电场时的电势能.故C错误.
故选ABD
点评:微粒在电场中做类平抛运动,运用运动的合成与分解处理类平抛运动问题是解决本题的关键.
解答:解:粒子在电场中做类平抛运动,平行于极板方向做匀速直线运动,垂直于极板方向做初速度为零的匀加速直线运动,则
运动时间为t=
离开电场时垂直于极板方向的分速度为vy=at,加速度a=
设偏转角度为θ,则tanθ=
联立解得,tanθ=
离开电场时的动能为Ek=
由题,L、v、m、q、U均已知,故可求出θ、离开电场时的动能Ek、在电场中的运动时间t三个量.故ABD正确.
C、电势能是相对的,由于零电势点未知,无法求出离开电场时的电势能.故C错误.
故选ABD
点评:微粒在电场中做类平抛运动,运用运动的合成与分解处理类平抛运动问题是解决本题的关键.
练习册系列答案
相关题目